Levantamento do Procon foi divulgado nesta sexta-feira.
Por Eduardo Santana - Portal Imbiara
Fonte: Procon Araxá
A volta às aulas vem aí, e com ela, o período de compras do material escolar. Com isso, é preciso muita atenção e pesquisa nos preços por parte dos pais.
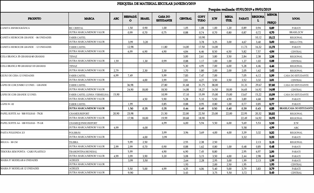
Um levantamento feito pelo PROCON Araxá apresenta variação de até 523% no mesmo produto da mesma marca, em estabelecimentos diferentes. De acordo com o órgão, foram pesquisados 35 itens em 10 estabelecimentos, entre os dias 07 e 10 de janeiro.
A pesquisa divulgada nesta sexta-feira, 11, apresenta o valor mais caro (marcas líderes de mercado) e o mais barato de cada item. A maior variação de preços em produtos de marcas diferentes foi registrada no apontador com depósito, que em um estabelecimento custa R$ 1,00 e em outro R$ 7,99 (699%). Já em produtos da mesma marca, a maior variação foi da borracha branca, o preço vai de R$ 0,48 a R$ 2,99 (523%).
A secretária executiva do PROCON, Belma Nolli, considera que a melhor forma de economizar é pesquisar preços, negociando descontos e prazos para pagamento: “É importante também observar se na lista de material escolar são pedidos itens de uso coletivo como papel higiênico, material de limpeza, material de escritório, entre outros. Os custos desses materiais já devem estar embutidos nas mensalidades escolares”.
A lista completa de produtos e seus valores, pode ser encontrada na sede do PROCON, que fica na Rua Perdizes, 280, no centro e no site do órgão (www.procon.araxa.mg.

